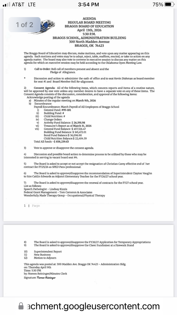
April 2026 Board Agenda

March 2026 Board Minutes

Braggs School Calendar for 2026-2027

Braggs School Weekly Events for April 6-10, 2026

Braggs School Weekly Events for March 30th-April 3, 2026

Braggs Public School Events for March 23rd-27th, 2026.
Welcome back from Spring Break!

Braggs School Weekly Events for March 9-13, 2026

Braggs Weekly Events for March 2-6, 2026

Braggs School Weekly Events for February 16-20, 2026

Braggs School Weekly Events February 9-13, 2025

Braggs School Weekly Events for Feb. 2-6, 2026

Braggs School Weekly Events for January 26-30, 2026

Braggs School Weekly Events for January 19-23, 2026

Braggs School Weekly Events for January 12th-17th, 2026.

Braggs School Events for January 5-10, 2026

Braggs School Weekly Events for December 15-19, 2025

Braggs School Weekly Events for December 8th-12th, 2025

Braggs School Weekly Events, Dec. 1-5, 2025

Braggs School Weekly Events for November 17th-21st, 2025

Veterans Day Assembly Tuesday, November 11th at 9:00 a.m.

